| 上一页 | 下一页 |
决策

描述
决策是活动图或交互概述图的一个元素,它指示条件进展点:如果条件为True,则处理继续单向; 如果没有,那么另一个。
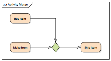
这也可以用作合并节点,因为可以合并(但不同步)多个备选流以形成一个流。这些示例显示了使用决策元素的这两种模式。
用作决定:

参见UML超结构规范,v2.1.1,图12.77,p。363。
用作合并:

参见UML超结构规范,v2.1.1,图12.106,p。388。
笔记
- 移动图表通常不会影响Packages中元素的位置; 如果将图表从一个包移动到另一个包中,图中的所有元素都保留在原始包中
但是,Decision元素仅在一个图表中使用,在该图表之外没有任何意义,并且永远不会在任何其他图表中重复使用图。因此,如果移动包含这些元素的图表,则会将它们移动到包含该图表的新父包
工具箱图标

学到更多
OMG UML规范:
OMG UML规范(UML上部结构规范,v2.1.1,p.361(决策符号))规定:
决策节点是在输出流之间进行选择的控制节点。决策节点具有一个传入边缘和多个传出活动边缘。
OMG UML规范(UML上部结构规范,v2.1.1,p.387(合并符号))也指出:
合并节点是将多个备用流汇集在一起的控制节点。它不用于同步并发流,而是接受多个备用流中的一个...合并节点有多个入局边和一个出局边。